电位滴定法测定调味品中的酸值
1 前言
调味品中含有多种有机酸,利用氨基酸的两性作用,加入甲醛以固定氨基的碱性,使羧基显示出酸性,用氢氧化钠标准溶液滴定,以电位滴定仪测定终点。
2 实验部分
2.1 实验试剂与仪器
T860全自动电位滴定仪;
甲醛溶液(36%):应不含聚合物;
氢氧化钠标准滴定溶液C(NaOH)=0.05M;
纯水。
2.2 实验方法
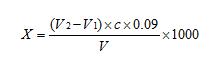
取10.0mL样品,置于150mL烧杯中,加入70mL蒸馏水稀释,开动磁力搅拌,搅拌均匀,用氢氧化钠标准滴定液(0.05M)滴定,采用终点滴定模式,设置终点为pH 8.2,记下消耗的滴定剂的体积。根据公式计算:
其中:
X ----------酸值
V ----------取样量
V ----------样品滴定体积
V ----------样品空白滴定体积
C ----------滴定液浓度
0.09 ----------计算系数
2.3仪器设定
参数设定:终点滴定
l 终点数:1
l 结束体积:10.000ml
l 终点pH:8.2
l 添加最小体积:0.005ml
l 初次添加体积:0.02ml
l 终点预控范围:0.20pH
3 结果与分析
