电位滴定法测定己二酸二丁基二甘酯含量
前言
己二酸二丁基二甘酯商品名:己二酸二[2-(2-丁氧基乙氧基)乙酯],具有良好的耐寒性和耐汽油性,能与天然橡胶、合成橡胶能很好地相溶,从而改善橡胶的低温柔软性。主要用于橡胶、聚氨酯、塑料、人造革、电缆料。因此,找到一种测定其含量的方法十分重要。
实验部分
1.1 仪器与设备
T960电位滴定仪,pH复合电极
1.2 试剂与耗材
实验中涉及的试剂均为优级纯或分析纯,实验用水为三级水。
1.3.1 氢氧化钾乙醇溶液:0.05mol/L。称取0.7g氢氧化钾用无水乙醇定容至250mL容量瓶中。
1.3.2 无水乙醇。
1.3 实验过程
1.3.1 滴定前处理
取3.0g左右样品,加入约50mL无水乙醇,混匀溶解。
1.3.2 滴定
用0.05mol/L氢氧化钾乙醇溶液开始滴定。
1.3.3 计算公式
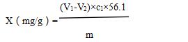
己二酸二丁基二甘酯的含量,按下式计算:
式中:
V1--氢氧化钾乙醇溶液体积,单位为毫升(mL);
V2--空白试验消耗硫代硫酸钠标准滴定溶液体积,单位为毫升(mL);
c1--氢氧化钾乙醇溶液浓度,单位为摩尔每升(mol/L);
m—样品质量,单位为克(g)。
1.4 结果与讨论
1.4.1 滴定参数
1.4.2 实验结果
见下表:
1.4.3 讨论
测定的己二酸二丁基二甘酯含量重复性良好。
