电位滴定法测定碱式碳酸镁的氯含量
1 前言
碱式碳酸镁,为白色稀松的粉末或为轻脆的物质,主要用作透明或浅色橡胶制品的填充剂和补强剂,且能增强橡胶的耐磨性,抗弯曲性和拉伸强度。也可用作油漆、石墨和涂料的添加剂,也可用于牙膏、医药和化妆品等工业。本文参照国标方法,旨在探讨电位滴定仪测定氯化物含量的可行性。
2 仪器与试剂
2.1 仪器
T960电位滴定仪、Hamilton 银复合电极
2.2 试剂
硝酸银溶液(0.0106mol/L)、氢氧化钠溶液(1.0mol/L)、硝酸溶液(1 mol/L)、硝酸溶液(2+3)、95%乙醇、
3 实验方法
3.1 实验步骤
称取约4.0g试样,精确到0.01g,置于滴定杯中,加少量水润湿,滴定硝酸溶液(2+3)至试样完全溶解,加2-3滴溴酚蓝指示剂。由于溶液呈黄色,于是加入氢氧化钠溶液(1mol/L)至蓝色,再滴加硝酸溶液(1mol/L)至恰呈黄色,并过量2-3滴。加入30mL95%乙醇溶液,装上银复合电极,用硝酸银溶液(0.0106mol/L)进行滴定至终点。
空白实验是向滴定杯中加入4mL硝酸溶液(1 mol/L),用氢氧化钠溶液(1 mol/L)和pH电极调节溶液至中性,后续操作从“加2-3滴溴酚蓝指示剂”开始,与试样溶液同样处理。
3.2 仪器参数
4 结果与讨论
4.1 实验结果
空白体积:4.259mL
计算公式:
式中:
X --为样品含量(%);
V --为滴定样品消耗硝酸银溶液体积(mL);
V0 --为滴定空白消耗硝酸银溶液体积(mL);
m --为样品质量(g)。
c --为硝酸银溶液的浓度(0.04mol/L);
35.45 --氯的相对摩尔质量(g/mol)。
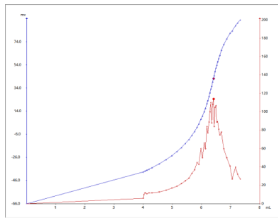
4.2 滴定谱图
4.3 结论
本文实验结果平行性良好,图谱直观明显,符合方法中对于精密度的要求。
参考文献
[1] HG/T2959-2010工业水合碱式碳酸镁[S].
注意事项
由于滴定剂浓度偏小,图谱在终点附近可能出现些许杂峰,建议通过“数据平滑”处理。三种样品图谱形状类似,因此本报告仅提供了一张图片。
