F800纤维测定仪检测茶叶粗纤维的含量
1引言
粗纤维是茶叶嫩度的标志,其与茶叶嫩度呈负相关。随着茶芽的生长进程,纤维素逐渐积累。纤维素越多,茶叶的嫩度越低,反之茶叶嫩度越高。嫩度高的茶叶,其成分水浸物、茶多酚、儿茶素、全氮量、蛋白质、咖啡碱和水溶性果胶等丰富。因此,只有在采摘嫩度高的前提下,才能做出色、香、味、形俱佳的成茶;反之,粗纤维多的老茶的品质低劣。所以,粗纤维含量的高低与茶叶品质密切相关。
茶叶中粗纤维含量测定原理:茶叶在一定浓度硫酸作用下,其中糖、淀粉、果胶质和半纤维素经水解出去后,再用一定浓度碱处理,除去蛋白质及脂肪酸,剩余的残渣再经灰化、称量;由灰化时质量损失计算得出粗纤维含量。
2实验部分
2.1实验仪器
F800纤维测定仪(济南海能仪器股份有限公司);分析天平;真空干燥箱;旋风磨;干燥器;马弗炉。
2.2实验试剂
实验用水应符合GB/T6682中三级用水的规格,使用试剂除特殊说明外,均为分析纯。
盐酸溶液:c(HCl)=4.00mol/L和0.27mol/L;硫酸溶液:c(H2SO4)=0.13mol/L;氢氧化钠溶液:c(NaOH)=0.31mol/L;丙酮;乙醇。
滤器辅料:海砂或硅藻土(使用前,将其用沸腾盐酸溶液[c(HCl)=4mol/L]处理,水洗至中性,在550℃下灰化1h,放入坩埚内);消泡剂:正辛醇。
2.3实验步骤
1.仪器准备:请参照说明书。
2.样品制备:用旋风磨将其粉碎,精确称取干燥样品约1g(记为m),放入灰化好并带有硅藻土的坩埚内。
3.酸消煮:消煮管内添加150mL硫酸溶液,微沸状态下消煮30min,抽滤并洗涤数次至中性。
4.碱消煮:消煮管内添加150mL氢氧化钠溶液,微沸状态下消煮30min,抽滤并洗涤数次至中性。
5.洗涤:加入0.27mol/L盐酸洗涤一次,再用热蒸馏水洗涤数次至中性;加入乙醇洗涤两次;丙酮洗涤三次,抽滤至干,除去溶剂。
6.干燥:放入真空干燥箱内,以130℃烘干2h,冷却称重m1.
7.灰化:550℃下,在马弗炉中灰化2h,冷却称重为m2.
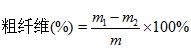
8.计算结果:根据公式粗纤维(%) =
其中,m1──130℃烘干后坩埚及试样残渣重,g;
m2──550℃(或500℃)灼烧后坩埚及试样残渣重,g;
m ── 干燥试样质量,g;
计算得出实验结果。
3 注意事项
1.若实验过程中,出现较多气泡,可滴入几滴正辛醇。
2.消煮过程中,若样品出现挂壁现象,可用加入少量酸性或碱性洗涤剂将其冲洗下来。
3.排废过程中,若出现样品因抽滤成饼造成抽滤困难时,可采用反冲功能,从而使排废进行更顺利。
