凯氏定氮法测定扁桃中粗蛋白含量
1 前言
扁桃是梅亚科李属的一种植物,多年生落叶果树,小乔木或乔木,新疆品种又名巴旦木,扁桃主要用作食用的部份是其内果皮中的种子(果仁),也是常见的坚果。扁桃营养价值丰富,粗蛋白含量高于核桃和葵花籽等坚果。下面为大家介绍一下扁桃中粗蛋白含量测定方法。
2 实验部分
2.1原理
扁桃中的有机态氮在浓硫酸和催化剂的共同作用下,转化为氨态氮。加碱蒸馏后,用硼酸吸收后,再以盐酸或硫酸标准滴定液进行滴定。
2.2 仪器与试剂、器具
2.2.1 K1160全自动凯氏定氮仪(济南海能仪器股份有限公司)。
2.2.2 SH420F石墨消解仪(济南海能仪器股份有限公司)。
2.2.3 盐酸 分析纯,c(HCL)=0.1mol/L,标准滴定液。
2.2.4 硼酸 分析纯,质量分数2%。
2.2.5 氢氧化钠 分析纯,质量分数40%。
2.2.6 溴甲酚绿-甲基红混合指示剂 将溴甲酚绿乙醇溶液(1g/L)与甲基红乙醇溶液(1g/L)按5:1体积比临时混合摇匀备用。
2.2.7 催化剂片 3g硫酸钾和0.2g硫酸铜混合均匀压片
2.2.8 10mL移液管
2.3 实验部分
2.3.1取样:取0.5g左右样品,加催化剂一片(或硫酸钾3g与硫酸铜0.2g),再沿瓶壁滴加硫酸10.0ml.
2.3.2消解:利用石墨消解炉进行消解,将消化管放在石墨炉上,盖上排气罩,连接废气吸收系统,消化完毕后,将消化管取下冷却至室温。消化过程采用曲线升温模式,设置参数如下:
2.3.3 待消化管内溶液冷却至室温后,将消化管放置于定氮仪上。定氮仪设置程序如下:
稀释水:30ml
硼酸: 25ml
碱: 35ml
蒸馏时间:5min
2.3.4 仪器自动滴定并给出计算结果。
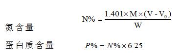
3 结果与讨论
式中:M-标准酸摩尔浓度(mol/L)
W-样品质量(g)
V0-空白样滴定标准酸消耗量(mL)
V-样品滴定标准酸消耗量(mL),精确到小数点后四位
