凯氏定氮法测定大豆肽中蛋白质含量
1 前言
大豆肽粉是一种由2-6个氨基酸组成的、分子量在200-800 Dalton 的混合肽产品。与原蛋白相比,大豆肽粉具有很好的水溶性、持水性、起泡性,能在pH2-10的任何酸碱条件下完全溶解。大豆肽粉能与其它食品配料完全溶合,并保持各自原有的物化及营养特性。与原蛋白和同组成的氨基酸制剂相比,大豆肽粉更易被人体吸收,它可不经胃肠消化,直接进入小肠被吸收,而且不受身体状况所影响。
大豆肽的分级标准中,粗蛋白含量作为其中一个重要的指标。因此测定大豆肽的蛋白质含量具有重要意义。
2 实验部分
2.1原理
根据国标《GB/T22492-2008大豆肽粉》中大豆肽粉在浓硫酸和催化剂的共同作用下,由有机态的氮转化为氨态氮。加碱蒸馏后,用硼酸吸收后,再以硫酸标准滴定液进行滴定。
2.2 仪器与试剂、器具
2.2.1 K1100F全自动凯氏定氮仪(济南海能仪器股份有限公司)。
2.2.2 SH420F石墨消解仪(济南海能仪器股份有限公司)。
2.2.3 硫酸 分析纯,c(HCL)=0.1mol/L,标准滴定液。
2.2.4 硼酸 分析纯,质量分数2%。
2.2.5 氢氧化钠 分析纯,质量分数40%。
2.2.6 溴甲酚绿-甲基红混合指示剂 将溴甲酚绿乙醇溶液(1g/L)与甲基红乙醇溶液(1g/L)按5+1体积比临时混合摇匀备用。
2.2.7 催化剂片 3g硫酸钾和0.2g硫酸铜混合均匀压片
2.2.8 50ml量筒
2.2.9 称量瓶
2.3 实验部分
2.3.1取样:取0.5g左右的样品,称量纸包好一并投入消化管中,加一片催化剂片(或者3g硫酸钾、0.2g硫酸铜),加入10ml浓硫酸。
2.3.2消解:利用石墨消解炉进行消解,将消化管放在石墨炉上,盖上排气罩,连接废气吸收系统,消化完毕后,将消化管取下冷却至室温。消化过程采用直线升温模式,逐渐升温至420度,消解1小时。
2.3.3 待消化管内溶液冷却至室温后,将消化管放置于定氮仪上。定氮仪设置程序如下:
硼酸:35ml
碱:40ml
蒸馏时间:5min
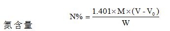
2.3.4 仪器自动滴定并给出计算结果。
蛋白质含量 P%=N(%)×6.25
式中:M-标准酸摩尔浓度(mol/L)
W-样品质量(g)
V0-空白样滴定标准酸消耗量(mL)
V-样品滴定标准酸消耗量(mL),精确到小数点后四位
3 结果与讨论
大豆肽中蛋白质含量作为一个重要的分级标准:
