冷浸提装置用于测定水果中总膳食纤维含量(非酶重量法)
1 实验原理
将水果匀浆置于水浴中保温,溶解糖和其他水溶性成分。用乙醇沉淀水溶性纤维。残渣清洗后,烘干。烘干后一份测定蛋白质含量,另一份测定灰分含量。残渣重量减去蛋白质和灰分的重量即为总膳食纤维重量。
2 实验部分
2.1 仪器
分析天平,Hanon冷浸提装置,多孔坩埚(30-50μm),真空干燥箱,马弗炉,干燥器,组织捣碎机
2.2 实验
2.2.1 按照 GB/T5009.3方法测试试样水分含量。
2.2.2 根据样品含水量准确称取四份样品匀浆(每份约含0.5g干物质),每份用20mL水分数次洗入250mL烧杯中,轻轻搅动,使样品均匀分散,用1 mL-2 mL水冲洗下烧杯内壁上的附着物。密封烧杯,置于37℃保温90min。
2.2.3 向每个烧杯中加入100ml95%乙醇,25℃保温1h。将烧杯中处理好的试样转移至已称重的多孔坩埚中,使用冷浸提装置进行抽滤。若堵塞,可轻微反吹。
2.2.4 残渣先用78%乙醇溶液冲洗2次,每次20毫升,再用95 %乙醇冲洗2次,每次10 ml。然后在通风橱中用10ml丙酮冲洗1次。将盛有残渣的坩埚置于105℃下干燥2h,放入干燥器中冷却至室温,称量。
2.2.5 所的残渣两份可按照GB/T5009.5通过Hanon 1100/1100F 凯氏定氮仪进行蛋白含量测定,两外两份可按照GB/T5009.4通过马弗炉测定灰分含量。
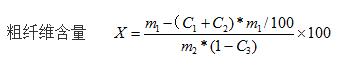
2.3 计算
式中:
X————样品中总膳食纤维的含量,单位为百分数(%);
m1————残渣质量平均值(mg);
m2————称样量平均值(mg);
C1———— 残渣中蛋白质含量(%)
C2———— 残渣中灰分含量(%)
C3———— 残渣中水分含量(%)
