SOX406脂肪测定仪测定巧克力中脂肪含量
1引言
巧克力是一个外来词Chocolate的译音,其口感细腻甜美,具有一股浓郁香气,被作为甜食来直接食用,也可用于制作蛋糕、冰激凌等食品。巧克力能缓解人的情绪低落,使人兴奋,同时也能提高人的注意力及智力,加强注意力,防治心血管循环疾病等。但其脂肪含量相当高,过多食用会造成肥胖。
2实验部分
2.1实验仪器及试剂
SOX406脂肪测定仪(济南海能仪器股份有限公司);分析天平;鼓风干燥箱;干燥器;100mL量筒。
实验用水应符合GB/T6682中三级用水的规格,使用试剂除特殊说明外,均为分析纯。
石油醚(60~90℃);滤纸;脱脂棉。
2.2实验步骤
1.仪器准备:请参照说明书,清洗溶剂杯,干燥并称重记为m0。
2.取样:用研杵将样品研碎,精确称取干燥样品约1.5g(记为m),放入滤纸筒内,并覆盖上一层脱脂棉。
3.萃取:加入抽提溶剂50mL,打开冷凝水,启动脂肪测定仪。设置回流时间2.5h、萃取温度95℃,进行萃取。预干燥30min。
4.计算结果:抽提完成后,烘干溶剂杯至恒重,记为m1。
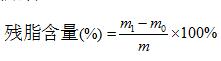
增重法计算残脂含量:
其中,m1──溶剂杯和残脂质量,g;
m0──溶剂杯质量,g;
m ──试样质量,g;
计算得出实验结果。
3注意事项
注意石油醚的挥发及易燃性,萃取过程中应及时注意通风。
