SOX406脂肪测定仪测定犬粮中脂肪含量
1引言
犬粮是专业为宠物犬类提供的营养餐,营养均衡,犬类吃了会健康。犬粮的营养成分主要是从水分,维生素,脂肪,蛋白质等成分去检测。其中,脂肪不仅能提供给狗狗热量和必要的脂肪酸助其成长,而且能促进狗狗对脂溶性维生素的吸收。本方案采用SOX406脂肪测定仪检测了不同口味宠物犬犬粮中脂肪含量。
2实验部分
2.1实验仪器及试剂
SOX406脂肪测定仪(济南海能仪器股份有限公司);分析天平;鼓风干燥箱;旋风磨;干燥器;100mL量筒。
实验用水应符合GB/T6682中三级用水的规格,使用试剂除特殊说明外,均为分析纯。
石油醚(60~90℃);滤纸;脱脂棉。
2.2实验步骤
1.仪器准备:请参照说明书,清洗溶剂杯,干燥并称重记为m0。
2.取样:将样品在旋风磨中粉碎;精确称取干燥后样品约1g左右(记为m),放入滤纸筒内,并覆盖上一层脱脂棉。
3.萃取:加入抽提溶剂50mL,打开冷凝水,启动脂肪测定仪。设置回流时间3.0h、萃取温度95℃,进行萃取。预干燥15min。
4.计算结果:抽提完成后,烘干溶剂杯至恒重,称重记为m1。
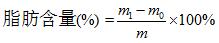
增重法计算脂肪含量:
其中,m1──溶剂杯和粗脂肪质量,g;
m0──溶剂杯质量,g;
m ── 干燥后试样质量,g;
计算得出实验结果。
3结果分析
由表中数据可知,采用SOX406脂肪测定仪测试的心形颗粒状牛肉味和骨头形颗粒状鸡肉味幼犬犬粮样品两个平行样数据的重复性符合国标GB/T6433-2006标准,即心形颗粒状牛肉味和骨头形颗粒状鸡肉味幼犬犬粮样品的脂肪含量分别为8.10%和10.33%。
4注意事项
注意石油醚的挥发及易燃性,实验过程中应及时注意通风,防止石油醚对人体造成伤害。
