SOX406脂肪测定仪测定饲料中脂肪含量
1引言
饲料中添加脂肪优点如下:一、为禽畜提供脂肪酸的来源;二、能改善换肉率促进动物生长、提高适口性;三、改进饲料外观及增加商品光泽;四、改善色素及脂溶性维生素的吸收利用;五、使用脂肪作为营养物质,可降低成本。因此,脂肪含量的测定对饲料成分至关重要。本实验以小鼠饲料为基础,进行脂肪含量测定实验。
2实验部分
2.1实验仪器及试剂
SOX406脂肪测定仪(济南海能仪器股份有限公司);旋风磨;分析天平;鼓风干燥箱;干燥器;100mL量筒。
实验用水应符合GB/T6682中三级用水的规格,使用试剂除特殊说明外,均为分析纯。
石油醚(60~90℃);滤纸;脱脂棉。
2.2实验步骤
1.仪器准备:请参照说明书,清洗溶剂杯,干燥并称重记为m0。
2.取样:用旋风磨将样品粉碎,精确称取干燥样品约1.0g(记为m),放入滤纸筒内,并覆盖上一层脱脂棉。
3.萃取:加入抽提溶剂50mL,打开冷凝水,启动脂肪测定仪。设置回流时间4h、萃取温度95℃,进行萃取。预干燥15min。
4.计算结果:抽提完成后,烘干溶剂杯至恒重,记为m1。
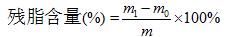
增重法计算残脂含量:
其中,m1──溶剂杯和残脂质量,g;
m0──溶剂杯质量,g;
m ──试样质量,g;
计算得出实验结果。
3实验结果
4注意事项
注意石油醚的挥发及易燃性,萃取过程中应及时注意通风。
