SOX406脂肪测定仪测定薯片中脂肪含量
1引言
薯片是由马铃薯制成的零食。制作方法是把马铃薯切成薄片,通过炸或烤至脆口并加以调味即可。除了简单的加入调味剂盐,市面上还有烤肉味,番茄味等,因其口味的不同而被人们喜欢。但由于其制作工艺炸制的原因易造成脂肪含量较高。本方案将采用SOX406脂肪测定仪对薯片中脂肪含量进行测定。
2实验部分
2.1实验仪器及试剂
SOX406脂肪测定仪(济南海能仪器股份有限公司);分析天平;研钵;鼓风干燥箱;干燥器;100mL量筒。
实验用水应符合GB/T6682中三级用水的规格,使用试剂除特殊说明外,均为分析纯。
石油醚(60~90℃);滤纸;脱脂棉。
2.2实验步骤
1.仪器准备:请参照说明书,清洗溶剂杯,干燥并称重记为m0。
2.取样:精确称取样品约1.0g左右(记为m),放入研钵中将其研碎,并用脱脂棉将研钵上残留脂肪用乙醇擦拭干净,一并放入滤纸筒内,并覆盖上一层脱脂棉,放入80℃烘箱烘干1h。
3.萃取:加入抽提溶剂50mL,打开冷凝水,启动脂肪测定仪。设置回流时间3h、萃取温度95℃,进行萃取。预干燥15min。
4.计算结果:抽提完成后,烘干溶剂杯至恒重,记为m1。
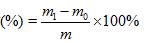
增重法计算粗脂肪含量:
粗脂肪含量(%) =
其中,m1──溶剂杯和粗脂肪质量,g;
m0──溶剂杯质量,g;
m ──试样质量,g;
计算得出实验结果。
3结果分析
4注意事项
注意石油醚的挥发及易燃性,实验过程中应及时注意通风,防止石油醚对人体造成伤害。
