SOX406脂肪测定仪测定香菇中脂肪含量
1引言
香菇是一种营养丰富并兼有食疗价值的食品。香菇是世界上第二大食用菌,也是我国的特产之一,味道鲜美,香气沁人,营养丰富。香菇有“山珍之王”之称,是高蛋白、低脂肪的营养保健食品。香菇中的脂肪所含脂肪酸,对人体降低血脂有益。其脂肪含量测定是经过酸水解,冷却、过滤、洗涤残渣,再经石油醚提取,烘干、恒重得到脂肪含量。
2实验部分
2.1实验仪器及试剂
SOX406脂肪测定仪(济南海能仪器股份有限公司);分析天平;鼓风干燥箱;干燥器;剪刀;旋风磨;100mL量筒。
实验用水应符合GB/T6682中三级用水的规格,使用试剂除特殊说明外,均为分析纯。
石油醚(60~90℃);盐酸溶液(3mol/L);滤纸;脱脂棉。
2.2实验步骤
1.仪器准备:请参照说明书,清洗溶剂杯,干燥并称重记为m0。
2.取样:将样品用剪刀剪碎,80℃下烘干至发脆,并在旋风磨中粉碎;精确称取干燥后样品约5.0g左右(记为m)。
3.酸水解:将样品放入盛有盐酸溶液的烧杯中,缓慢加热至微沸,并保持微沸状态下水解1h,过滤,洗涤至中性,烘干。
4.萃取:将样品放入滤纸筒内,并覆盖上一层脱脂棉,加入抽提溶剂50mL,打开冷凝水,启动脂肪测定仪。设置回流时间3h、萃取温度95℃,进行萃取。预干燥15min。
4.计算结果:抽提完成后,烘干溶剂杯至恒重,记为m1。
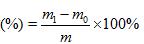
增重法计算粗脂肪含量:
粗脂肪含量(%) =
其中,m1──溶剂杯和粗脂肪质量,g;
m0──溶剂杯质量,g;
m ── 干燥后试样质量,g;
计算得出实验结果。
3结果分析
4注意事项
注意石油醚的挥发及易燃性,实验过程中应及时注意通风,防止石油醚对人体造成伤害。
