SOX406脂肪测定仪检测黄油中脂肪含量
1引言
黄油是奶食品之冠。因其味道独特纯香,含有丰富的维他命、矿物质、脂肪酸等营养物质,被用于调味品。但其含脂量较多,过多摄入,可使人体胆固醇含量增高,增加心血管疾病危险。
2实验部分
2.1实验仪器及试剂
SOX406脂肪测定仪(济南海能仪器股份有限公司);分析天平;鼓风干燥箱;干燥器;100mL量筒。
实验用水应符合GB/T6682中三级用水的规格,使用试剂除特殊说明外,均为分析纯。
海砂;石油醚(60~90℃);滤纸;脱脂棉。
2.2实验步骤
1.仪器准备:请参照说明书,清洗溶剂杯,干燥并称重记为m0。
2.取样:精确称取样品约1g左右(记为m),放入带有海砂的滤纸筒内,并覆盖上一层脱脂棉。
3.萃取:加入抽提溶剂50mL,打开冷凝水,启动脂肪测定仪。设置回流时间4h、萃取温度95℃,进行萃取。预干燥15min。
4.计算结果:抽提完成后,烘干溶剂杯至恒重,记为m1。
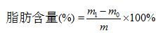
增重法计算脂肪含量:
其中,m1──溶剂杯和粗脂肪质量,g;
m0──溶剂杯质量,g;
m ──试样质量,g;
计算得出实验结果。
3结果分析
4注意事项
注意石油醚的挥发及易燃性,萃取过程中应及时注意通风。
