索氏提取仪测定安息香醇中不溶物含量
1 前言
安息香为安息香科植物白花树的干燥树脂,树干经自然损伤或于夏、秋二季割裂树干,收集流出的树脂,阴干而成。性味辛、苦、平。有开窍醒神,行气活血,止痛的功效。适用于中风痰厥,气郁暴厥,心腹疼痛小儿惊风等症状。因药典中,安息香检查指标中的醇中不溶物一项需用索氏提取器和乙醇对样品进行提取,该步骤费时费力;用索氏提取仪代替索氏提取器,无需过滤,且一次可以处理6个样品,缩短了萃取时间,提高了工作效率。
2 实验部分
2.1 仪器
SOX406/606索氏提取仪;分析天平;旋风磨;鼓风干燥箱;干燥器;100mL量筒。
2.2试剂
实验用水应符合GB/T6682中三级用水的规格,使用试剂除特殊说明外,均为分析纯。
无水乙醇;滤纸;脱脂棉。
3实验方法
3.1仪器准备
请参照说明书,清洗溶剂杯,干燥。
3.2样品制备
将样品粉碎,精确称取干燥样品2.5g(记为m),用滤纸包好,105℃烘干1h,放入干燥器内冷却至室温,称重记为m1。
3.3仪器参数设置
打开冷凝水,启动索氏提取仪,设置萃取参数。加入乙醇回流提取至提取液无色。
抽提完成后,弃去溶剂杯内的乙醇液,取出残渣室温挥干,放入105℃烘箱内烘干1h,放入干燥器内冷却至室温,称量记为m2。
4结果分析
4.1实验结果
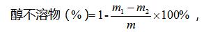
计算醇不溶物含量:
,
其中,m1──未萃取前,105℃烘干滤纸和样品质量,g;
m2──萃取后,105℃烘干滤纸和残渣质量,g;
m──试样质量,g
参考文献
[1] 国家药典委员会.中华人民共和国药典[M].一部.北京:中国医药科技出版社,2015:148.
注意事项
样品需进行充分研碎或粉碎。颗粒尺寸越小,混合越均匀,样品中醇容物越容易被萃取出来,从而可缩短萃取时间,提高工作效率。
