索氏提取仪测定灵芝中多糖含量
1 前言
灵芝多糖是灵芝中最有效的成分之一。其有多方面的药理活性:能提高机体免疫力、加速血液微循环、提高血液供氧能力、降低机体静止状态下的无效耗氧量等。
本次带来的实验方案是水提醇沉淀+苯酚-硫酸光度法。整个实验水提部分使用SOX406索氏提取仪,含量测定使用紫外可见分光光度计。分光光度法原理:灵芝多糖在酸性环境下水解为单糖,并迅速脱水生成糖醛衍生物,然后与苯酚生成橙黄色化合物,在特定波长下,以比色法测定。
2 实验部分
2.1 仪器
SOX406索氏提取仪;i8紫外可见光-分光光度计;分析天平;鼓风干燥箱;干燥器;旋风磨;100mL量筒。
2.2试剂
实验用水应符合GB/T6682中三级用水的规格,使用试剂除特殊说明外,均为分析纯。
硫酸;苯酚;乙醇;葡萄糖;滤纸;脱脂棉。
3实验方法
3.1仪器准备
请参照说明书,清洗溶剂杯,干燥并称重记为m0。
3.2样品制备
将样品进行粉碎,精确称取样品约2.0g左右(记为m),并用双层滤纸包包好,放入滤纸筒内。
3.3第一阶段提取
加入抽提溶剂水60mL,打开冷凝水,启动脂肪测定仪406。设置第一阶段萃取时间2h;萃取温度140℃;实验结束完,将萃取液收集到烧杯内,并用少量蒸馏水由上端萃取口分多次淋洗样品,并入到烧杯内,溶剂杯内换入新的蒸馏水再次进行萃取。再重复此操作两次。
3.4浓缩
将烧杯置于带有石棉网的电炉上烘干至少量水时,在进行水浴烘干。
3.5醇沉淀
将残渣用5ml水溶解,边搅拌边缓慢地加乙醇75ml,摇匀,在低温环境下静置12小时,离心,弃去上层清液,沉淀物用热水溶解并转移至50ml容量瓶中,放冷,加水至刻度,摇匀。
3.6苯酚溶液配制
称取10.0g苯酚置于200ml容量瓶中,加水定容,置于棕色瓶中,避光保存。
3.7葡萄糖溶液配制
称取葡萄糖0.1g溶于100ml容量瓶中,并定容。取其中10ml溶液于100ml容量瓶中,并定容,摇匀得0.1mg/ml溶液。
3.8.标准曲线建立
取5个10ml容量瓶,向其中加入0.0,0.2,0.4,0.6,0.8ml葡萄糖溶液,依次加水1ml,苯酚1ml,浓硫酸5ml,振摇5min,置于40℃水浴15min,放冷定容至10ml,用紫外-可见分光光度法在490nm波长处测定其吸光度,以吸光度为纵坐标,浓度为横坐标,绘制标准曲线。
3.9样品测试
取样品0.5ml,按9中步骤进行依次加入各种试剂,进行测定。从标准曲线上,读出其浓度C(μg/ml)。
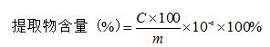
4结果分析
根据药典规定,灵芝以无水葡萄糖计,可根据如下公式进行计算,
标准曲线 C=-1.556+119.1×A
注意事项
该实验每阶段收集时,建议多次淋洗。在萃取过程中,将样品浸入到萃取液中,可加速萃取速度。
