索氏提取仪测定豌豆粉中脂肪含量
1 引言
即食豌豆粉是一种方便冲调产品,口感细腻,营养丰富,含有丰富的蛋白质、维生素、矿物质等。其中脂肪含量测定原理为:将粉碎、分散且干燥的试样用有机溶剂回流提取,使试样中的脂肪被溶剂抽提出来,回收溶剂后所得到的残留物,即粗脂肪。
2 实验部分
2.1 实验仪器及试剂
SOX406索氏提取仪(济南海能仪器股份有限公司);圆孔筛;分析天平;鼓风干燥箱;干燥器;100mL量筒。
实验用水应符合GB/T6682中三级用水的规格,使用试剂除特殊说明外,均为分析纯。
石油醚(60~90℃);滤纸;脱脂棉。
2.2 实验步骤
1.仪器准备:请参照说明书,清洗溶剂杯,干燥并称重记为m0。
2.取样:精确称取样品约2.0g左右(记为m),放入滤纸筒内,并覆盖上一层脱脂棉。
3.萃取:加入抽提溶剂50mL,打开冷凝水,启动索氏提取仪。设置回流时间2.5h、萃取温度100℃,进行萃取。预干燥15min。
4.计算结果:抽提完成后,烘干溶剂杯至恒重,记为m1。
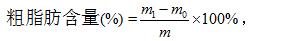
增重法计算粗脂肪含量:
其中,m1──溶剂杯和粗脂肪质量,g;
m0──溶剂杯质量,g;
m ── 试样质量,g;
计算得出实验结果。
3 结果分析

4注意事项
注意石油醚的挥发及易燃性,实验过程中应及时注意通风,防止石油醚对人体造成伤害。
