土壤阳离子交换量测定方法
实验原理
依据《LYT 1243-1999 森林土壤阳离子交换量的测定》。用1mol/L的乙酸铵溶液反复处理土壤,使土壤成为铵离子饱和土,过量的乙酸铵用95%乙醇洗去,然后加氧化镁进行蒸馏。蒸馏出的氨用硼酸溶液吸收,以标准酸液滴定,根据铵离子的量计算土壤阳离子交换量。
仪器与试剂
K1160全自动凯氏定氮仪(阳离子交换量测定仪)
分析天平(万分之一以上)
离心机(100ml离心管)
试剂配置参照《LYT 1243-1999 森林土壤阳离子交换量的测定》。
实验过程
1)离子交换 称取通过1mm筛孔的风干土样2g,放入100ml离心管中沿壁加入少量1mol/L乙酸铵溶液,用橡皮头玻璃搅拌土样,使其成为均匀的泥浆状态,再加入乙酸铵溶液至总体积约60ml,并充分搅拌均匀,然后用乙酸铵溶液洗净橡皮玻棒,溶液收入离心管内。
将离心管用乙酸铵溶液使之质量平衡,粗配平。平衡好的离心管对称放入离心机中,离心3-5min,转速3000r/min。
每次离心后的清液收集在250ml容量瓶中,如此用乙酸铵溶液处理2-3次,直到浸出液中无钙离子反应为止(检查钙离子:取浸出液5ml,放在试管中, 加pH10缓冲溶液1ml,再加入少许K-B指示剂,如呈蓝色,表示无钙离子:如呈紫红色,表示有钙离子)。最后用乙酸铵溶液定容,保留离心清液用于测定交换性盐基。
2)反复清洗 往载土的离心管中加入少量95%的乙醇,用橡皮玻璃棒搅拌土样,使
其成为泥浆状态,再加乙醇约至60ml,用橡皮玻璃棒充分搅拌均匀,以便洗去土粒表面多余的乙酸铵,切不可有小土团存在。
然后将离心管用乙醇使之质量平衡,粗配平,并对称放入离心机中,离心3-5min,转速3000r/min,弃去乙醇溶液。如此反复用乙醇洗2-3次,直至最后一次乙醇清液中无铵离子为止(检查铵离子:取乙醇清液,立即加一滴纳氏试剂,如无黄色,表示无铵离子,也可用甲基红-溴甲酚绿混合指示剂进行检查)。
3)上机测试 洗去多余的铵离子后,先用水冲洗离心管外壁,再往离心管中加入少量水,并搅拌成糊状,再用水将泥浆洗入消化管中,并用橡皮玻璃棒擦洗离心管内壁,使全部土样转入消化管中,洗入水的体积应控制在50-80ml。
消化管内加入2ml液体石蜡和1g左右氧化镁。立即把消化管装在仪器上,设置程序如下:
每份土样做不少于两次的平行的测定。同时做空白试验。
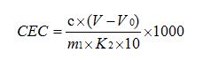
4)仪器输出结果 仪器自动滴定并给出阳离子交换量含量,仪器内置计算公式如下:
式中:CEC: 阳离子交换量,cmol(+)/kg;
C:盐酸标准溶液的浓度,mol/L ;
V:盐酸标准溶液的用量,mL ;
V0:空白试验盐酸标准溶液的用量,mL ;
m1:风干土样质量,g ;
K2:将风干土换算成烘干土的换算系数;
10:将mmol换算成cmol 的倍数。
