纤维测定仪测定不同种类饲料中粗纤维含量
引言
饲料按国标方法分类,可分为粗饲料、青绿饲料、青贮饲料、能量饲料、蛋白质补充饲料、矿物质饲料、维生素饲料、添加剂。其中粗饲料指干物质中粗纤维的含量在18%以上的一类饲料,主要包括干草类、秸秆类等;青绿饲料指自然水分含量在60%以上的一类饲料;能量饲料指干物质中粗纤维的含量在18%以下,粗蛋白的含量在20%以下的一类饲料主要有谷实类、糠麸类等。本方案主要以粗饲料和能量饲料两种类样品进行粗纤维检测。
1 实验部分
1.1实验原理
样品粗纤维含量测定原理为:用固定量的酸和碱,在特定的条件下消煮样品,再用醚、丙酮除去醚溶物,经高温灼烧扣除矿物质的量,所余量称为粗纤维。
1.1 仪器与设备
F800纤维测定仪(济南海能仪器股份有限公司);分析天平;真空干燥箱;干燥器;马弗炉。
1.2 试剂与耗材
实验用水应符合GB/T6682中三级用水的规格,使用试剂除特殊说明外,均为分析纯。
1.2.1硫酸溶液:c(H2SO4)=0.13mol/L
1.2.2氢氧化钠溶液:c(NaOH)=0.31mol/L
1.2.3丙酮
1.2.4石油醚
1.2.5滤器辅料:硅藻土(在500℃下灰化1h,放入坩埚内)
1.2.6消泡剂:正辛醇
1.3 实验步骤
1.仪器准备:请参照说明书。
2.样品制备:精确称取样品约1g(记为m,未干燥),放入灰化好并带有硅藻土的坩埚内。
3.酸消煮:消煮管内添加150mL硫酸溶液,微沸状态下消煮30min,抽滤并洗涤数次至中性。
4.碱消煮:消煮管内添加150mL氢氧化钠溶液,微沸状态下消煮30min,抽滤并洗涤数次至中性。
5.洗涤:先后加入丙酮和石油醚,各洗涤3次,抽滤。
6.干燥:放入真空干燥箱内,以130℃烘干2h,冷却称重m1.
7.灰化:500℃下,在马弗炉中灰化2h,冷却称重为m2.
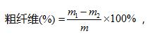
8.根据公式计算结果:
其中,m1──130℃烘干后坩埚及试样残渣重,g;
m2──500℃灼烧后坩埚及试样残渣重,g;
m ── 试样质量,g;
计算得出实验结果。
结果与讨论

注意:
1.若实验过程中,出现较多气泡,可滴入几滴正辛醇。
2.消煮过程中,若样品出现挂壁现象,可用加入少量酸性或碱性洗涤剂将其冲洗下来。
3.排废过程中,若出现样品因抽滤成饼造成抽滤困难时,可采用反冲功能,从而使排废进行更顺利。
