纤维测定仪测定大豆蛋白粉中粗纤维含量
引言
大豆蛋白粉是提纯植物蛋白的一种,是一种针对特定人群的营养性食品补充剂。其具有恢复身体机能、提高机体免疫力、利于伤口愈合等营养价值。大豆蛋白粉的质量指标中,粗纤维含量有明确要求。用海能F800纤维测定仪测定粗纤维含量原理为:在硫酸作用下,试样中的糖、淀粉、果胶质和半纤维素经水解除去后,再用碱处理,除去蛋白质及脂肪酸,残渣称重,灰化除去不溶酸碱的杂质再称重,两者差值称为粗纤维。
1 实验部分
1.1 仪器与设备
F800纤维测定仪(济南海能仪器股份有限公司);分析天平;真空干燥箱;干燥器;马弗炉。
1.2 试剂与耗材
实验用水应符合GB/T6682中三级用水的规格,使用试剂除特殊说明外,均为分析纯。
1.2.1硫酸溶液:c(H2SO4)=0.13mol/L
1.2.2氢氧化钠溶液:c(NaOH)=0.31mol/L
1.2.3乙醇
1.2.4石油醚
1.2.5滤器辅料:硅藻土(在500℃下灰化1h,放入坩埚内)
1.2.6消泡剂:正辛醇。
1.3 实验步骤
1.仪器准备:请参照说明书。
2.样品制备:精确称取样品约1g(记为m),放入灰化好并带有硅藻土的坩埚内。
3.酸消煮:消煮管内添加150mL硫酸溶液,微沸状态下消煮30min,抽滤并洗涤数次至中性。
4.碱消煮:消煮管内添加150mL氢氧化钠溶液,微沸状态下消煮30min,抽滤并洗涤数次至中性。
5.洗涤:在冷浸提上先后加入乙醇和石油醚,各洗涤1次,抽滤。
6.干燥:放入真空干燥箱内,以130℃烘干2h,冷却称重m1.
7.灰化:500℃下,在马弗炉中灰化2h,冷却称重为m2.
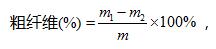
8.根据公式计算结果:
其中,m1──130℃烘干后坩埚及试样残渣重,g;
m2──500℃灼烧后坩埚及试样残渣重,g;
m ── 试样质量,g;
计算得出实验结果。
结果与讨论

注意:
1.若实验过程中,出现较多气泡,可滴入几滴正辛醇。
2.消煮过程中,若样品出现挂壁现象,可用加入少量酸性或碱性洗涤剂将其冲洗下来。
3.排废过程中,若出现样品因抽滤成饼造成抽滤困难时,可采用反冲功能,从而使排废进行更顺利。
