纤维测定仪测定豆皮中的粗纤维含量
1 前言
F800纤维测定仪测定豆皮中粗纤维含量原理:在硫酸作用下,试样中的糖、淀粉、果胶质和半纤维素经水解除去后,再用碱处理,除去蛋白质及脂肪酸,残渣称重,灰化除去不溶酸碱的杂质再称重,两者差值称为粗纤维。
2 仪器与试剂
2.1仪器
F800纤维测定仪;旋风磨;分析天平;鼓风干燥箱;100mL量筒;干燥器。
2.2试剂
实验用水应符合GB/T6682中三级用水的规格,使用试剂除特殊说明外,均为分析纯。
硫酸溶液:c(H2SO4)=0.13mol/L;氢氧化钠溶液:c(NaOH)=0.31mol/L;乙醇;石油醚;消泡剂:正辛醇。
滤器辅料:硅藻土(在500℃下灰化1h,放入坩埚内)。
3 实验方法
3.1仪器准备:请参照说明书,准备好仪器。
3.2 精确称取样品约1g(记为m),放入灰化好并带有硅藻土的坩埚内。
3.3 酸消煮:消煮管内添加150mL硫酸溶液,微沸状态下消煮30min,抽滤并洗涤数次至中性。
3.4 碱消煮:消煮管内添加150mL氢氧化钠溶液,微沸状态下消煮30min,抽滤并洗涤数次至中性。
3.5洗涤:加入石油醚,浸润5min,洗涤直至滤液变为无色,并抽干。
3.6干燥:放入真空干燥箱内,以130℃烘干2h,冷却称重m1。
3.7灰化:550℃下,在马弗炉中灰化2h,冷却称重为m2。
4 结果与讨论
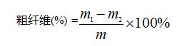
实验结果
其中,m2──灰化后坩埚、硅藻土及样品残渣重,g
m1──烘干后坩埚、硅藻土及样品残渣重,g
m── 试样质量,g
参考文献
[1] GB/T 6434-2006 饲料中粗纤维的含量测定 过滤法[S].
注意事项
1)若样品脂肪含量≧10%,应先用乙醚进行脱脂后再进行消煮。
2)若实验过程中,出现较多气泡,可滴入几滴正辛醇。
3)消煮过程中,若样品出现挂壁现象,可用加入少量酸性洗涤剂将其冲洗下来。
4)排废过程中,若出现样品因抽滤成饼造成抽滤困难时,可采用反冲功能,从而使排废进行更顺利。
