纤维测定仪测定饲料中的粗纤维含量
1 前言
纤维是反刍动物的一种必须营养素。因此,动物适量摄入粗纤维是对身体有利的。其益处有:维持瘤胃的正常功能和动物的健康;为动物提供大量的能源。粗纤维含量可通过纤维测定仪来测定,经固定量的酸和碱,在一定条件下消煮样品,再经醚、丙酮除去醚溶物,经高温灼烧扣除矿物质的量,所余量即为粗纤维。
2 仪器与试剂
2.1仪器
F800纤维测定仪;旋风磨;分析天平;鼓风干燥箱;100mL量筒;干燥器。
2.2试剂
实验用水应符合GB/T6682中三级用水的规格,使用试剂除特殊说明外,均为分析纯。
硫酸溶液:c(H2SO4)=0.13mol/L;氢氧化钠溶液:c(NaOH)=0.31mol/L;丙酮;石油醚;消泡剂:正辛醇。
滤器辅料:硅藻土(在500℃下灰化1h,放入坩埚内)。
3 实验方法
3.1仪器准备:请参照说明书,准备好仪器。
3.2 样品制备:将样品进行粉碎,精确称取样品约1g(记为m),放入灰化好并带有硅藻土的坩埚内。
3.3 酸消煮:消煮管内添加150mL硫酸溶液,微沸状态下消煮30min,抽滤并洗涤数次至中性。
3.4 碱消煮:消煮管内添加150mL氢氧化钠溶液,微沸状态下消煮30min,抽滤并洗涤数次至中性。
3.5洗涤:先后加入丙酮和石油醚,各洗涤3次,抽滤。
3.6干燥:放入真空干燥箱内,以130℃烘干2h,冷却称重m1。
3.7灰化:500℃下,在马弗炉中灰化2h,冷却称重为m2。
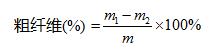
4 实验结果
其中,m1──130℃烘干后坩埚及试样残渣重,g
m0──500℃灼烧后坩埚及试样残渣重,g
m── 试样(未脱脂)质量,g
参考文献
[1] GB/T 6434-2006 饲料中粗纤维的含量测定 过滤法[S].
注意事项
若实验过程中,出现较多气泡,可滴入几滴正辛醇。消煮过程中,若样品出现挂壁现象,可用加入少量酸性或碱性洗涤剂将其冲洗下来。排废过程中,若出现样品因抽滤成饼造成抽滤困难时,可采用反冲功能,从而使排废进行更顺利。
