纤维测定仪测定饲料中的酸性洗涤纤维含量
1 前言
粗纤维的测定方法虽然对饲料工业和畜牧业的发展起到了至关重要的作用,但不能给出饲料中纤维成分更精确的信息,同时也不能反映家畜利用纤维物质的真实情况。因为由Van Soest 等人提出的中性洗涤纤维测定方法、酸性洗涤纤维测定方法和酸性木质素测定方法得到广泛应用。本方案将使用中性洗涤剂和F800纤维测定仪对饲料中酸性洗涤纤维的含量进行检测。
2 仪器与试剂
2.1仪器
F800纤维测定仪;旋风磨;分析天平;鼓风干燥箱;100mL量筒;干燥器。
2.2试剂
实验用水应符合GB/T6682中三级用水的规格,使用试剂除特殊说明外,均为分析纯。
硫酸;十六烷基三甲基溴化铵(C19H42NBr,CTAB);丙酮(CH3COCH3);石油醚(60~90℃);盐酸;正辛醇(C8H18O,消泡剂)。
酸性洗涤剂(2%十六烷基三甲基溴化铵溶液):称取20gCTAB溶解于1000mL1.00mol/L硫酸(1/2H2SO4)溶液中,搅拌溶解。
滤器辅料:硅藻土(在500℃下灰化1h,放入坩埚内)。
3 实验方法
3.1仪器准备:请参照说明书,准备好仪器。
3.2 洗涤剂和样品制备:根据农业行业NY/T1459-2007标准,将酸性洗涤剂配好,待用;用旋风磨将其粉碎,过40目分样筛;精确称取干燥样品约1g(记为m),放入灰化好并带有硅藻土的坩埚(称重m1)内。
3.3 酸性洗涤剂消煮:消煮管内添加100mL酸性洗涤剂,微沸状态下消煮60min,抽滤并洗涤数次至无气泡。
3.4洗涤:先后加入丙酮和石油醚,浸润5min,洗涤直至滤液变为无色,并抽干。
3.6干燥:放入真空干燥箱内,以130℃烘干2h,冷却称重m2。
4 结果与讨论
4.1实验结果
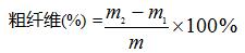
其中,m2──消煮后坩埚硅藻土及样品残渣重,g
m1──坩埚及硅藻土重,g
m── 试样(未脱脂)质量,g
4.2 结论
《NY/T 1459-2007 饲料中酸性洗涤纤维的测定》中对于重复性规定:酸性洗涤纤维(ADF)含量≦10%,允许相对偏差≦5%;酸性洗涤纤维(ADF)含量>10%,允许相对偏差≦3%。实验各样品三次独立测定结果相对偏差均小于3%,符合标准要求。
参考文献
[1] NY/T 1459-2007 饲料中酸性洗涤纤维的测定[S].
注意事项
若样品脂肪含量≧10%,必须用丙酮进行脱脂。若实验过程中,出现较多气泡,可滴入几滴正辛醇。消煮过程中,若样品出现挂壁现象,可用加入少量酸性洗涤剂将其冲洗下来。排废过程中,若出现样品因抽滤成饼造成抽滤困难时,可采用反冲功能,从而使排废进行更顺利。
