脂肪测定仪测定饼干中脂肪含量
1 引言
饼干,其主要原料为小麦面粉,再添加上辅料糖类、油脂、蛋品等混合,烘烤而制成。市面上的饼干多种多样,有苏打饼干、薄脆饼干、曲奇饼干、威化饼干等。其口味大多味香甜、酥脆,被受人们喜爱。其制作工艺中加入的油脂含量测定原理为:将其样品粉碎,用有机溶剂进行抽提、蒸去溶剂,得到粗脂肪,并通过增重法计算得到粗脂肪含量。
2 实验部分
2.1 实验仪器及试剂
SOX406脂肪测定仪(济南海能仪器股份有限公司);研钵;分析天平;鼓风干燥箱;干燥器;100mL量筒。
实验用水应符合GB/T6682中三级用水的规格,使用试剂除特殊说明外,均为分析纯。
石油醚(60~90℃);无水乙醇;滤纸;脱脂棉。
2.2 实验步骤
1.仪器准备:请参照说明书,清洗溶剂杯,干燥并称重记为m0。
2.取样:精确称取样品约2.0g左右(记为m),放入研钵中将其研碎,并用脱脂棉将研钵上残留脂肪用乙醇擦拭干净,一并放入滤纸筒内,并覆盖上一层脱脂棉,放入80℃烘箱烘干1h。
3.萃取:加入抽提溶剂50mL,打开冷凝水,启动脂肪测定仪。设置回流时间3.5h、萃取温度95℃,进行萃取。预干燥15min。
4.计算结果:抽提完成后,烘干溶剂杯至恒重,记为m1。
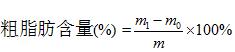
增重法计算粗脂肪含量:
其中,m1──溶剂杯和粗脂肪质量,g;
m0──溶剂杯质量,g;
m ── 试样质量,g;
计算得出实验结果。
3 结果分析

4注意事项
注意石油醚的挥发及易燃性,实验过程中应及时注意通风,防止石油醚对人体造成伤害。
