脂肪测定仪测定火腿肠中总脂肪含量
1 引言
火腿肠是深受广大消费者欢迎的一种肉类食品。它是以畜禽肉为主要原料,辅以填充剂(淀粉、植物蛋白粉等),然后再加入调味品(食盐、糖、酒味精等)等物质,采用腌制、乳化、高温蒸煮等加工工艺制成的肉食品,其特点是肉质细腻、食用简单、携带方便、保质期长。火腿肠含蛋白质、脂肪、碳水化合物等成分。
其中总脂肪含量可根据《GB/T9695.7-2008 肉与肉制品 总脂肪含量测定》规定方法测定,即样品经盐酸加热水解,将包含的结合的油脂释放出来,过滤,留在滤器上的物质经干燥后用石油醚抽提,除去溶剂,得到脂肪总量。
2 实验部分
2.1 实验仪器及试剂
SOX406脂肪测定仪(济南海能仪器股份有限公司);小刀;分析天平;鼓风干燥箱;电热炉;石棉网;干燥器;100mL量筒;250mL烧杯;表面皿。
实验用水应符合GB/T6682中三级用水的规格,使用试剂除特殊说明外,均为分析纯。
石油醚(60~90℃);无水乙醇;滤纸;脱脂棉。
2.2 实验步骤
1.仪器准备:请参照说明书,清洗溶剂杯,干燥并称重记为m0。
2.取样:用小刀将样品切碎,精确称取样品约5.0g左右(记为m)。
3.酸水解:将称量好样品置于250mL烧杯中,加入50mL 2mol/L盐酸溶液,盖上小表面皿,放到电热炉上缓慢加热至微沸,保持1h,并每10min摇动一次;取下烧杯,加入150mL热水,混匀,过滤至中性;将过滤的滤纸和擦拭使用的脱脂棉在85℃烘干2h。
4.萃取:将烘干后的过滤滤纸和擦拭使用的脱脂棉放入滤纸筒内,加入抽提溶剂50mL,打开冷凝水,启动脂肪测定仪。设置回流时间4h、萃取温度95℃,进行萃取。预干燥15min。
5.计算结果:抽提完成后,烘干溶剂杯至恒重,记为m1。
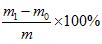
增重法计算粗脂肪含量:
粗脂肪含量(%) =
,
其中,m1──溶剂杯和粗脂肪质量,g;
m0──溶剂杯质量,g;
m ── 试样质量,g;
计算得出实验结果。
3 结果分析

4注意事项
1.注意石油醚的挥发及易燃性,实验过程中应及时注意通风,防止石油醚对人体造成伤害。
2.在酸水解过滤过程中,应将烧杯和表面皿上残留脂肪擦净,以避免实验结果偏低。
