脂肪测定仪测定核桃中脂肪含量
1引言
核桃,又称胡桃,为胡桃科植物。与扁桃、腰果、榛子并称为世界著名的“四大干果”。核桃仁含有丰富的营养素和含有人体必需的钙、磷、铁等多种微量元素和矿物质,以及胡萝卜素、核黄素等多种维生素。对人体有益,可强健大脑,是深受老百姓喜爱的坚果类食品之一。但其脂肪含量较多,过多摄入,对身体会造成影响。其含量大致为多少呢?本应用方案将给你答案。
2实验部分
2.1实验仪器及试剂
SOX406脂肪测定仪(济南海能仪器股份有限公司);分析天平;鼓风干燥箱;旋风磨;干燥器;100mL量筒。
实验用水应符合GB/T6682中三级用水的规格,使用试剂除特殊说明外,均为分析纯。
石油醚(60~90℃);滤纸;脱脂棉。
2.2实验步骤
1.仪器准备:请参照说明书,清洗溶剂杯,干燥并称重记为m0。
2.取样:将干燥后样品在旋风磨中粉碎;精确称取干燥后样品约1.5g左右(记为m),放入滤纸筒内,并覆盖上一层脱脂棉。
3.萃取:加入抽提溶剂50mL,打开冷凝水,启动脂肪测定仪。设置回流时间4h、萃取温度95℃,进行萃取。预干燥15min。
4.计算结果:抽提完成后,烘干溶剂杯至恒重,记为m1。
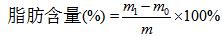
增重法计算脂肪含量:
其中,m1──溶剂杯和粗脂肪质量,g;
m0──溶剂杯质量,g;
m ──试样质量,g;
计算得出实验结果。
3结果分析
由表中数据可知,每100g干核桃仁中含有约63g脂肪,脂肪含量较多。在食用核桃时,建议适量食用。
4注意事项
注意石油醚的挥发及易燃性,实验过程中应及时注意通风,防止石油醚对人体造成伤害。
