脂肪测定仪测定口服液中粗脂肪含量
1 前言
如今,随着生活质量的不断提高,人们开发出了各式各样的营养品口服液产品,但也有一些假冒伪劣产品充斥其中,因此为了评判口服液的品质,通常情况下人们通过测试口服液中脂肪的含量多少来进行评估。综合以上情况,我们通过使用海能仪器股份有限公司生产的SOX500脂肪测定仪进行实验,所得结果如下。
2 样品制备
精确秤取口服液样品5-10克,加海砂在蒸发皿中蒸干。在105度干燥至恒重。
3 实验方法
3.1 将溶剂接收杯清洗干净,在干燥箱烘至恒重。
准备沸程30-60℃的石油醚500ml以上
3.2 将烘干恒重后溶剂杯自然冷却然后称取重量并记录,称取干燥样品5g放进滤纸筒内(滤纸筒顶部放入适量脱脂棉),可做五个样品,一个样品空白,以确保测试准确度。
3.3 将样品缓慢放入仪器萃取室中,并保证回流液恰好滴落在滤纸筒内,设置为SOX500索氏标准萃取模式。萃取室可加入80ml左右石油醚(石油醚添加量以漫过样品为标准)并拧紧上盖,防止溶剂泄漏。萃取温度设置80℃
萃取时间6h,预干燥时间30分钟以上
(实验过程请保证冷却水正常流通,特氟龙溶剂杯放置准确 并确保不漏气)
3.4 试验结束后待仪器上溶剂杯冷却后,取下放置烘箱80左右°烘干30min,放置于干燥器内冷却,后迅速称取总重
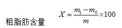
4 计算
式中:
X————样品中粗脂肪的含量(g/100g);
m1————溶剂杯和粗脂肪的质量(g);
m0————干燥溶剂杯质量(g);
m———— 样品质量
