脂肪测定仪测定油菜籽中脂肪含量
1引言
油菜籽,也称为芸台子,是草本十字花科作物,是中国主要油料作物之一。其中油脂含量为37.5%~46.3%。人体对菜籽油的吸收率很高,可达99%。其中所含的亚油酸等不饱和脂肪酸和维生素E等营养成分被机体很好地吸收,起到一定软化血管、延缓衰老的功效。
2实验部分
2.1实验仪器及试剂
SOX406脂肪测定仪(济南海能仪器股份有限公司);分析天平;鼓风干燥箱;旋风磨;干燥器;100mL量筒。
实验用水应符合GB/T6682中三级用水的规格,使用试剂除特殊说明外,均为分析纯。
海砂;石油醚(60~90℃);滤纸;脱脂棉。
2.2实验步骤
1.仪器准备:请参照说明书,清洗溶剂杯,干燥并称重记为m0。
2.取样:将样品在旋风磨中粉碎;精确称取样品约1g左右(记为m),放入带有海砂的滤纸筒内,并覆盖上一层脱脂棉。
3.萃取:加入抽提溶剂50mL,打开冷凝水,启动脂肪测定仪。设置回流时间2.5h、萃取温度95℃,进行萃取。预干燥15min。
4.计算结果:抽提完成后,烘干溶剂杯至恒重,记为m1。
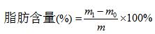
增重法计算脂肪含量:
其中,m1──溶剂杯和粗脂肪质量,g;
m0──溶剂杯质量,g;
m ──试样质量,g;
计算得出实验结果。
3结果分析
4注意事项
注意石油醚的挥发及易燃性,实验过程中应及时注意通风,防止石油醚对人体造成伤害。
